[ENG]
СФ ФИАН
Самарский филиал Федерального государственного бюджетного учреждения науки Физического института им. П.Н. Лебедева Российской академии наук
Филиал
Новости
О филиале
Сотрудники
Документы
История
О В.А. Катулине
Награды и отличия
Фотографии разных лет
Видеозаписи
Библиотека
Структура
Структура филиала
Дирекция
Лаборатория когерентной оптики
Лаборатория лазерно-индуцированных процессов
Лаборатория физико-химической кинетики
Теоретический сектор
Центр лабораторной астрофизики
НАУЧНАЯ ДЕЯТЕЛЬНОСТЬ
Ученый совет
Семинар
Публикации
Патенты
Оборудование
Разработки
Монографии
Основные результаты
Образование
Сотрудничество с вузами
SPIE Samara Student Chapter
Конкурс-конференция
экскурсии по лабораториям
СМИ о нас
Контакты
ИССЛЕДОВАНИЕ ЗАТУХАНИЯ И ДИСПЕРСИИ МЕДЛЕННЫХ МАГНИТОАКУСТИЧЕСКИХ ВОЛН ИЗ-ЗА ДИСБАЛАНСА МЕЖДУ ПРОЦЕССАМИ НАГРЕВА И ОХЛАЖДЕНИЯ В СОЛНЕЧНОЙ КОРОНЕ

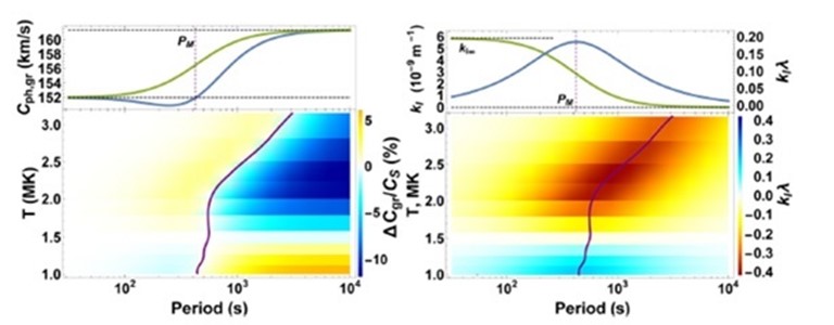
Медленные магнитоакустические волны распространяются как в естественных, так и в лабораторных плазменных системах. Волны вызывают дисбаланс между процессами охлаждения и нагрева плазмы. Это приводит к усилению или ослаблению, а также дисперсии медленных магнитоакустических волн (Рисунок). Волновая дисперсия может быть объяснена наличием в системе характерных временных шкал, связанных с нагревом или охлаждением плазмы вследствие конкуренции процессов нагрева и охлаждения в окрестности теплового равновесия.

В теоретическом секторе и НОЦ ФНОС СФ ФИАН-Самарский университет совместно с Centre for Fusion Space and Astrophysics ( Department of Physics, University of Warwick) проанализировано распространение линейных медленных магнитоакустических волн в плазме, тепловое равновесие которой поддерживается балансом радиационных потерь и процессов нагрева. Показано, что взаимное влияние усиления и дисперсии волны приводят к возникновению колебательного паттерна в первоначально широкополосной медленной волне с характерным периодом, определяемым временными шкалами теплового дисбаланса. Этот эффект иллюстрируется оценкой характерного периода колебательной картины, возникающей из-за теплового дисбаланса в плазме солнечной короны. Обнаружено, что по порядку величины этот характерный период составляет примерно типичные периоды медленных магнитоакустических колебаний, обнаруженных в короне.

Для типичных параметров корональных петель показано, что наблюдаемые свойства стоячих медленных магнитоакустических волн воспроизводятся при выборе адекватной зависимости мощности нагрева от температуры и плотности плазмы.





Вверху: зависимость фазовой Сph (зеленая сплошная линия) и групповой Сgr (синяя сплошная линия) скоростей от периода волны для температуры 1,06 МК.

Внизу: нормализованноя разница между групповой и стандартной скоростью звука (Сgr - СS)/СS как функция периода волны и температуры. Оранжевый /синий цвет указывает на области, где Сgr больше /ниже, чем СS, соответственно.




Вверху: зависимость фазовой Сph (зеленая сплошная линия) и групповой Сgr (синяя сплошная линия) скоростей от периода волны для температуры 1,06 МК.

Внизу: нормализованноя разница между групповой и стандартной скоростью звука (Сgr - СS)/СS как функция периода волны и температуры. Оранжевый /синий цвет указывает на области, где Сgr больше /ниже, чем СS, соответственно.


Контакты:

Н.Е. Молевич nonna.molevich@mail.ru
Физический институт им. П.Н. Лебедева, Самарский филиал.